|
HarmonicMean
Функция вычисляет среднее гармоническое для набора данных.
Синтаксис: HarmonicMean(PRICE,LENGTH)
PRICE – набор данных, для которых вычисляется среднее гармоническое. LENGTH – число баров, для которых ведутся вычисления.
Функция возвращает числовое значение, равное среднему гармоническому для данного набора данных.
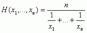
Использование функции: Среднее гармоническое для набора значений (х1,…,хn) вычисляется по следующей формуле:
Среднее гармоническое всегда меньше среднего геометрического, которое в свою очередь всегда меньше среднего арифметического.
Пример: Следующий код позволяет выполнить некоторую команду, когда быстрое гармоническое среднее больше, чем медленное гармоническое среднее:
If HarmonicMean(High, 9) > HarmonicMean(High, 21) Then {Команда}; |